- 概念
-
历史
迈克尔加成反应(Michael Addition)是有机化学中的经典反应。由旅欧的美国留学生阿瑟·麦克尔于1887年发现并做了系统研究。在二十世纪前半叶的合成实践中被大量运用于天然产物和药物的合成。
-
应用
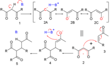
Michael加成最重要的应用是Robinson增环(annelation)反应。若以环酮作为Michael反应的供体,同甲基乙烯基酮(受体)作用,可得产物1,5-二酮,后者经分子内的羟醛缩合并脱水,可在原来环上再增加一个新的六元环,该过程称为Robinson增环反应。不仅可以得到1,5二羰基化合物,1,3和1,7等也可进行,若想要1,2 /1,4/1,6等加成,则需要首先进行极性反转,,以改变端基C的电性
- 反应机理
